Factorization Machines(FM) 和 Field-Aware Factorization Machine(FFM):推薦系統中的瑞士軍刀
Factorization Machines(FM)
- SVM
- 難以在稀疏資料中學習
 
- Factorization Models(如Matrix Factorization)
- 擴展性低:需要特定的輸入格式
 
FM:克服SVM和Factorization Models的缺點
- 可在稀疏資料中學習
- 輸入資料可擴展
- 訓練時間為線性複雜度
理論
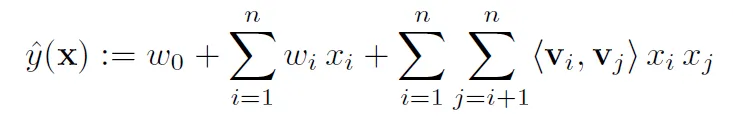
FM將權重 $w_{ij}$ 設為兩個長度為k的隱向量$V_i, V_j$的內積,表示為$\langle V_i, V_j \rangle$

- $w_0$是bias
- $w_i$是特徵$i$的一維權重
- $w_{i,j}$是特徵$i$和特徵$j$的二次交叉權重
- 隱向量長度$k$為hyperparameter
- FM將權重矩陣分解為隱向量的內積,破壞了權重的獨立性,所以在稀疏資料中仍能學習
- 已知一正定矩陣$W$,必存在$V$使$W=VV^t$
- 權重矩陣$W$必為正定
- 所以$W$必能分解成隱向量矩陣$V$乘自身的轉置
 
- 原本$W$的大小為$\frac{n^2}{2}$,改成隱向量$V$之後大小為$kn$,$k$通常不會設很大,明顯減少參數數量
- 限制$k$的大小也能限制FM模型的表達力,泛化能力較好
 

效率

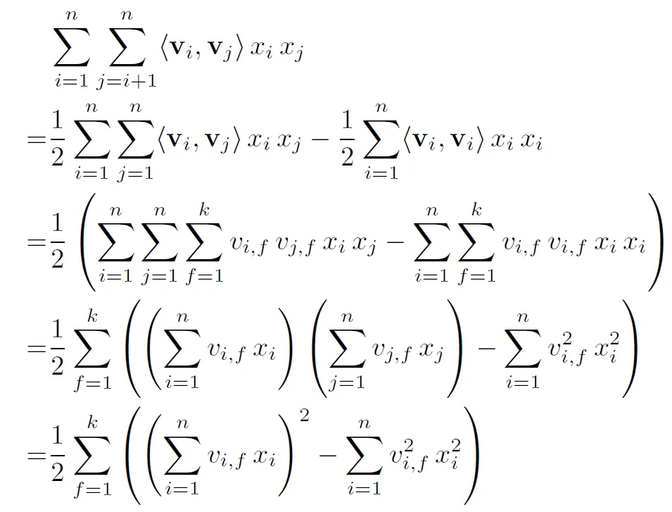
整理公式後,Inference的時間複雜度從$O(kn^2)$降到了$O(kn)$,$n$為特徵維度
- 第2行公式推導:表示為整個矩陣扣掉對角項再除以2,因為$W$是對稱矩陣
- 詳細推導可看這篇
- 實作上只須計算非0元素的乘積,時間複雜度再下降到$O(km)$,$m$為平均一筆輸入資料中,值非0的特徵數
更新
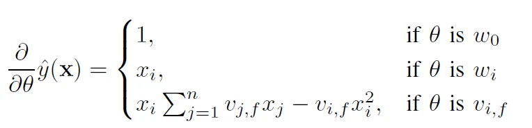
使用gradient descent學習參數

$\sum^n_{j=1}v_{j, f}x_j$可以事先計算,所以每次梯度更新的時間複雜度為$O(1)$
因此FM的訓練時間複雜度也是$O(km)$
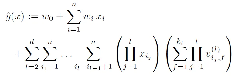
高維度FM

經過公式簡化(和二維的方法相似),也可以在線性時間內計算
FM 和 Factorization Model, SVM 比較
論文中證明了兩件事
- 各種Factorization Model為FM的特化
- FM可以解決SVM在稀疏資料中無法成功訓練的問題
詳細證明看不懂,略過
結論
- FM速度快、容易實作,於2012~14年為業界主流模型
- FM產生的隱向量可視為一種embedding
- 所以拿user的隱向量找相似隱向量的item,就是一個簡易且快速的推薦方法
 
- FM適合類型特徵(離散)而非數值特徵(連續),因為
- 類型特徵可有多個隱向量,而數值特徵只有一個
- 數值特徵不應使用同一個隱向量,如10歲和40歲
- FM速度和非零特徵數有關,數值特徵類型化後不影響訓練速度
 
Field-aware factorization machines(FFM)
- FM:一個特徵有一個隱向量
- FFM:一個特徵有一組隱向量
- 每個隱向量對應不同的特徵域
- 特徵域通常為一群代表相同性質的特徵,如one-hot特徵
 

範例
- 出版商特徵域(P): ESPN, Vogue, and NBC
- 廣告商特徵域(A): Nike, Gucci, and Adidas
- 消費者性別特徵域(G): Male, Female
在(ESPN, Nike) 和 (ESPN, Male) 中,ESPN的隱向量是不同的($V_{ESPN, A}$和 $V_{ESPN, G}$)
FM的隱向量:$$V_{ESPN}V_{Nike}, V_{ESPN}V_{Male}, V_{Nike}V_{Male}$$
FFM的隱向量:$$V_{ESPN, A}V_{Nike, P}, V_{ESPN, G}V_{Male,P}, V_{Nike, G}V_{Male,A}$$
結論
- 訓練時間複雜度為$O(kn^2)$
- 因為FFM的隱向量限制在一個特徵域,FFM的$k$可以比FM的$k$小
公式比較
只比較二次交叉項
$$FM(v, x) = ... + \sum^n_{j_1=1}{\sum^n_{j_2=j_1+1}{\langle v_{j_1}, v_{j_2}\rangle x_{j_1}x_{j_2}}}$$
$$FFM(v, x) = ... + \sum^n_{j_1=1}{\sum^n_{j_2=j_1+1}{\langle v_{j_1, f_2}, v_{j_2, f_1}\rangle x_{j_1}x_{j_2}}}$$
方法比較
- FM:在LR(Logistic Regression)的基礎上,加入特徵交叉
- FFM:在FM的基礎上,加入特徵域交叉
總結
就算Deep Learning盛行,FM也是一個很好的Baseline Model
Reference
- Rendle, Steffen. "Factorization machines." 2010 IEEE International conference on data mining. IEEE, 2010
- Juan, Yuchin, et al. "Field-aware factorization machines for CTR prediction." Proceedings of the 10th ACM conference on recommender systems. 2016
- FM:推薦算法中的瑞士軍刀
- Field-aware Factorization Machines with xLearn
- http://web.cs.ucla.edu/~chohsieh/teaching/CS260_Winter2019/lecture13.pdf
- 推薦系統系列(一):FM理論與實踐
- 初探Factorization Machine
- 推薦系統算法FM、FFM使用時,連續性特徵,是直接作為輸入,還是經過離散化後one-hot處理呢?
- FM模型連續特徵離散化